2D Transformation


2D linear transformations
1) 개요
- change domain of image

2) Properties of linear transformations
- Origin maps to origin
- Lines map to lines
- Parallel lines remain parallel
- Ratios are preserved
- Closed under composition
3) parametric transformation
$$\begin{bmatrix} x' \\ y' \end{bmatrix} = T \begin{bmatrix} x \\ y \end{bmatrix}$$
- Transformation T is a coordinate-changing machine.
- Each component multiplied by a scalar.

Homogeneous coordinates
1) 개요
$$x' = x + t_{x}, \;\; y' = y + t_{y}$$
- Translation isn't a linear operation on 2D coordinates.
- By using homogeneous coordinates, can express affine or projective transformation by single matrix.
- Image taken by camera is projected 3D to 2D. Every points in the space is projected to homogeneous coordinates.
- 2D transformations in heterogeneous coordinates.

2) 수식적 의미

$$\begin{bmatrix} x \\ y \end{bmatrix} \Rightarrow \begin{bmatrix} x \\ y \\ 1 \end{bmatrix}\stackrel{\text{def}}{=}\begin{bmatrix} wx \\ wy \\ w \end{bmatrix}$$
- represent 2D point with a 3D vector.
- 3D vectors are only defined up to scale -> Scale is ignored.
$$\begin{bmatrix} x \\ y \\ w \end{bmatrix} \Rightarrow (x/w, y/w)$$
- Converting from homogeneous coordinatesto heterogeneous.
Affine transformations
1) 개요

- Combinations of linear transformations and translations.
- Intuitively, mapping a triangle to an affine transformed triangle.
- Reflection is possible.
$$\begin{bmatrix} x' \\ y' \\ w' \end{bmatrix} = \begin{bmatrix} a & b & c \\ d & e & f \\ 0 & 0 & 1 \end{bmatrix}\begin{bmatrix} x \\ y \\ 1 \end{bmatrix}$$
2) Properties of affine transformations
- Origin doesn't necessarily map to origin
- Lines map to lines
- Parallel lines remain parallel
- Ratios are preserved
- Closed under composition
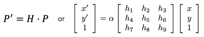
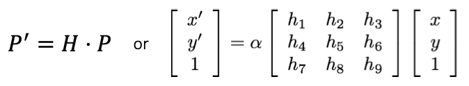
Projective transformations aka Homographies
1) 개요

- Combinations of affine transformations and projective warps
- maps points in one plane to another.
- use for registering images, rectifying images, texture warping, creating panoramas.
- Reflection is possible.
- [[a, b], [d, e]] : rotation, scale, shearing, reflection
- [c, f] : translation
- [g, h] : perspective (원근)
$$\begin{bmatrix} x' \\ y' \\ w' \end{bmatrix} = \begin{bmatrix} a & b & c \\ d & e & f \\ g & h & 1 \end{bmatrix}\begin{bmatrix} x \\ y \\ 1 \end{bmatrix}$$
2) Properties of projective transformations
- Origin doesn't necessarily map to origin
- Lines map to lines
- Parallel lines don't necessarily map to parallel lines
- Ratios aren't necessarily preserved
- Closed under composition
Abnormal transformation of projective, affine (twist, concave due to reflection)
- Check if a transformation has work normally or showed twist or concave result)
- if one of these are satisfied, it is a abnormal. -> Not must satisfy.
$$D \leq 0,\; sx<0.1 \; sx>4 \; sy<0.1 \; sy>4 \; P>0.002$$
$$D=ae - bd$$
$$sx = \sqrt{a^{2} + d^{2}}$$
$$sy = \sqrt{b^{2} + e^{2}}$$
$$P = \sqrt{g^{2} + h^{2}}$$
- D : determinant of [[a, b], [d, e]] -> reflection, twist
- sx : x-axis scale factor -> scale depend on programmer
- sy : y-axis scale factor -> scale depend on programmer
- P : degree of perspective
The direct linear transform (DLT) -> determining the homography matrix
1) 개요
- Homographies can be computed directly from corresponding points in two images.
- Each point coresondence gives 2 equations, one each for the x and y coordinates.
- DLT is computing H given 4 or more correspondences.
2) 수식적 이해





- By stacking all corresponding points a least squares solution for H can be found using singular value decomposition. (SVD)
Determining unknown image warps

- if pixel (x', y') lands between two pixels, add contribution to several pixels, normalize later. (splatting)
- if still result in holes, resample color value from interpolated source image.
Code
1) Scaling
img = cv2.imread('/Users/sejongpyo/downloads/yubi.jpg')
# shrink
res = cv2.resize(img, None, fx = 0.5,fy = 0.5, interpolation = cv2.INTER_CUBIC)
# (img, dsize(manual size), fx, fy, interpolation)
# zoom
height, width = img.shape[:2]
res = cv2.resize(img, (2*width, 2*height), interpolation = cv2.INTER_CUBIC)
plt.imshow(res)
plt.show
2) Translation
img = cv2.imread('/Users/sejongpyo/downloads/yubi.jpg', 0)
rows, cols = img.shape[:2]
# M = [[1, 0, x], [0, 1, y]] x축, y축 이동값 적용
M = np.float32([[1, 0, 100], [0, 1, 50]])
dst = cv2.warpAffine(img, M, (cols, rows)) # (width, height)
plt.imshow(dst)
plt.show
3) Rotatoin
img = cv2.imread('/Users/sejongpyo/downloads/yubi.jpg', 0)
rows, cols = img.shape[:2]
# 90 degree rotation and 0.5 scale
M = cv2.getRotationMatrix2D((cols/2, rows/2), 90, 0.5)
dst = cv2.warpAffine(img, M, (cols, rows))
plt.imshow(dst)
plt.show
4) Affine Transformation

img = cv2.imread('/Users/sejongpyo/downloads/yubi.jpg')
rows, cols, ch = img.shape
pts1 = np.float32([[200, 100], [400, 100], [200, 200]])
pts2 = np.float32([[200, 300], [400, 200], [200, 400]])
# check point
cv2.circle(img, (200, 100), 10, (255, 0, 0), -1)
cv2.circle(img, (400, 100), 10, (0, 255, 0), -1)
cv2.circle(img, (200, 200), 10, (0, 0, 255), -1)
M = cv2.getAffineTransform(pts1, pts2)
dst = cv2.warpAffine(img, M, (cols, rows))
plt.subplot(121), plt.imshow(img)
plt.subplot(122), plt.imshow(dst)
5) perspective transformation

import numpy as np
import cv2
coordi = []
def get_coordinates(event, x, y, flags, params):
'''
get coordinates of an image by clicking points
'''
global coordi
# left top -> right top -> left bottom -> right bottom
if event == cv2.EVENT_LBUTTONDOWN:
coordi.append([x, y])
cv2.circle(img, (x, y), 3, (0, 0, 255), -1)
cv2.imshow('image', img)
img= cv2.imread('museum.jpg')
cv2.imshow('image', img)
cv2.setMouseCallback('image', get_coordinates)
cv2.waitKey(0)
coor = np.float32(coordi)
width = np.linalg.norm(coor[1] - coor[0])
height = np.linalg.norm(coor[2] - coor[0])
move = np.float32([[0, 0], [width, 0], [0, height], [width, height]])
M = cv2.getPerspectiveTransform(coor, move)
dst = cv2.warpPerspective(img, M, (width, height))
cv2.imshow('dst', dst)
cv2.waitKey(0)
cv2.destroyAllWindows()
ref.
darkpgmr.tistory.com/79?category=460965
www.cs.cornell.edu/courses/cs5670/2019sp/lectures/lec07_transformations.pdf
'AI > Computer Vision' 카테고리의 다른 글
| Camera (0) | 2021.04.08 |
|---|---|
| RANSAC (0) | 2021.04.06 |
| Hough Transform (0) | 2021.04.01 |
| Image Resampling (Image pyramids) (0) | 2021.03.30 |
| SIFT (Scale invariant feature transform) (0) | 2021.03.26 |
